Vezi cum arata PRE-CONTRACTUL semnat de Ronaldo cu Real! :)
La Liga
Vezi cum arata PRE-CONTRACTUL semnat de Ronaldo cu Real! :)
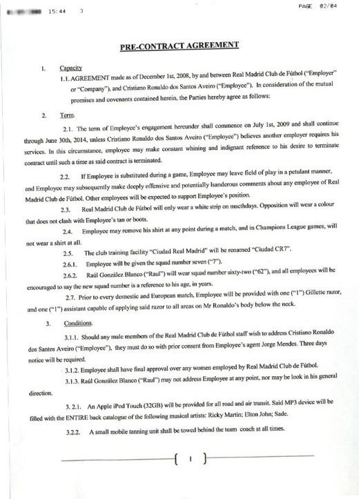
Englezii de la The Spoiler au pus mana pe pre-contractul lui Cristiano Ronaldo cu Real Madrid, semnat in decembrie 2008. Cel mai probabil, acest document prezentat de englezi nu este real, insa previziunile presei din Anglia si Spania s-au adeverit.
Ziarul catalan Sport dezvaluia ca Real este obligata sa-l cumpere pe Cristiano Ronaldo pana pe 30 iunie, in baza unui pre-contract semnat intre Calderon si mijlocasul lui United.
Sub titlul "Inca o mostenire otravitoare de la Calderon", catalanii au scris ca Real Madrid trebuie sa-l cumpere pe Ronaldo pana pe 30 iunie sau se obliga la plata a 30 de milioane de euro catre portughez! Iata ca spaniolii au avut dreptate: Ronaldo a devenit cel mai scump transfer din istorie! 94 de milioane de euro a platit Real Madrid pentru serviciile portughezului.
Iata cum arata pre-contractul semnat de Ronaldo cu Real:

Urmăriți SPORT.RO și pe Google News


