S-a inventat formula matematica pentru parcarea laterala!

S-a inventat formula matematica pentru parcarea laterala! Masini S-a inventat formula matematica pentru parcarea laterala!

Un profesor de matematica si Vauxhall (Opel in Marea Britanie) au gasit formula pentru o parcare laterala fara cusur.

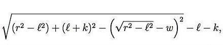
Formula parcarii laterale


 

Unde:
“r” este raza de bracaj
“l” esteampatamentul (distanta dintre punti masurata din centrul axului)
“k” este distanta dintre puntea fata si botul masinii
“w” este latimea masinii din fata

 Rezultatul este spatiul necesar pentru o parcare laterala fara risipa de spatiu.

 

Modifică setările cookies
Don’t miss out on our news and updates! Enable push notifications
Get notifications about important news!